Blackboard’s content editor allows two options for displaying equations within typed content: The Maths Editor user interface or typesetting LaTeX equations directly into content areas*. Both options can be used by instructors and students to create equations.
*These options are currently not available for announcements or messages.
Maths Editor
The Blackboard Maths Editor is an integrated feature within Blackboard that enables users to write, edit, and display mathematical notation and equations in a clear and structured way. This tool allows instructors and students to create equations using an intuitive editor that supports a range of mathematical symbols, operators, and functions across fields such as algebra, calculus, statistics and chemistry.
Blackboard Help for using the Maths Editor.
Create equations with the Maths Editor
The Math editor streamlines the process of adding complex mathematical notation into online course materials, enhancing the learning and assessment experience in subjects requiring technical notation. The editor provides a large symbol and operator library to cater for your mathematical discipline.

Typesetting LaTeX equations
Within Documents and content areas on Blackboard, equations can be typeset in the content editor. Using LaTeX allows equations to be properly formatted and displayed correctly.
There are two modes of LaTeX formatting for equations:
1. Display mode – renders the equation on its own centred line, separate from the surrounding text, for clearer presentation. For display mode use $$…$$ or \[…\].
2. Inline mode – places the equation within the flow of text on the same line, making it part of the sentence rather than displayed separately. For inline mode use \(…\).
Note: The LaTeX notation for an equation must be one line to render in Blackboard.
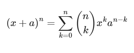
Display Mode Example
An example of a LaTeX equation as typed into the Blackboard content editor:
$$\left(x+a\right)^n=\sum_{k=0}^{n}{\binom{n}{k}x^ka^{n-k}}$$
Or
\[\left(x+a\right)^n=\sum_{k=0}^{n}{\binom{n}{k}x^ka^{n-k}}\]
This is how it would be displayed in Blackboard:

Inline Mode Example
An example of a LaTeX equation as part of a sentence:
In elementary algebra, the binomial theorem (or binomial expansion) describes the algebraic expansion of powers of a binomial: \(\left(x+a\right)^n=\sum_{k=0}^{n}{\binom{n}{k}x^ka^{n-k}}\). According to the theorem, it expresses the power of a binomial …
This is how it would appear in Blackboard:

Multi-Line Equations
Some equations need to be written across multiple lines, for example:

However, Blackboard will not apply LaTeX use packages and requires LaTeX notation to be a single line. Therefore, to display multi-line equations properly you must use the LaTeX ‘array’ function and either \\ or \\\\ for line breaks. For example, the equation above would be written as:
\[ f(x)= \left\{ \begin{array}{ll} 1 , & \text{if} \ x \ \text{is rational}, \\ 0 , & \text{if} \ x \ \text{is irrational} \end{array} \right. \]
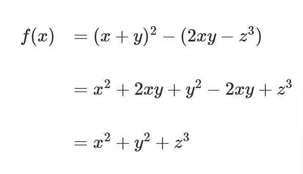
Another example is:
$$ \begin{array}{l} f(x) &= (x+y)^2 - (2xy - z^3) \\\\ &= x^2 + 2xy + y^2 - 2xy + z^3 \\\\ &= x^2 + y^2 + z^3 \end{array} $$
which displays as:

Accessibility of Math Editor equations
Creating equations with the Maths Editor or LaTeX results in accessible mathematics.
The notation is rendered as a scalable vector graphic meaning that it will not blur when a web browser is resized. Users who rely on assistive technology have the option to interpret the equation with the MathML or a semantic alternative text for the image of the equation which is automatically created for all equations.
Example of semantic alternative text
open parenthesis x plus a close parenthesis to the power of n equal sum from k equals 0 to n of open parentheses n over k close parentheses x to the power of k a to the power of n minus k end exponent
Considerations when using the Math Editor
Be sure to verify existing equations after editing
When editing existing equations you should perform a check that the syntax is as you expect. When you go back to edit, be careful that your equation is not adjusted.
I have a large quantity of equations – is this still suitable?
Entering large quantities of equations through Blackboard’s Maths Editor may take a substantial amount of time, in this circumstance speak with Digital Learning who will be able to advise you on the best approach.
Avoid entering plain text into the Math Editor
When using the Maths Editor to create inline equations with plain text be sure to exclude any non-maths characters from the Maths Editor. Text within the Maths Editor can be poorly presented and does not reflow or adapt well to mobile devices.
Choosing inline or display style maths
The Math Editor does not enable users to select display-style maths, instead, this can achieved by using LaTeX or the plain text editing features to apply the appearance of display-style equations.
Choosing the right font
Blackboard displays mathematical notation in a sans-serif format by default, though some subject areas prefer a serif font.
For further advice please raise a ticket with Digital Learning Team.